跳至内容
AI采购助手
当前位置: 首页 产品中心 标准物质 有机类 单标 标样-丙酮中2-氯苯酚溶液标准样品
标样-丙酮中2-氯苯酚溶液标准样品
图片仅供参考,具体产品以实物为准!

标样-丙酮中2-氯苯酚溶液标准样品

BW04878-1
¥ 100.0
¥ 100.0
95-57-8
1.2mL
2026-04-07
秦境标物
97.6μg/mL
+
≥10
标样-丙酮中2-氯苯酚溶液标准样品介绍:

本标准物质主要用于测量仪器校准、分析方法评价和质量控制,以及食品、卫生、环境和农业等领域相应成分含量测定与残留检测。

一、 样品制备

本标准物质以纯度经准确定值的2-氯苯酚为原料,以色谱级丙酮为溶剂,采用重量-容量法准确配制而成。

二、 溯源性及定值方法

以配制值作为溶液标准物质浓度的标准值,制备的标准物质和质量控制对照样采用气相色谱法-氢火焰离子化检测器(GC-FID)比对计算,核验配制值。通过使用满足计量学特性要求的制备方法、测量方法和计量器具,保证标准物质的量值溯源性。

三、 特性值及不确定度

编号

名称

标准值

(μg/mL)

扩展不确定度(k=2)(μg/mL)

BW04878-1

丙酮中2-氯苯酚溶液标准样品

97.6

6.0

标准值的不确定度主要由原料纯度、称量、定容以及均匀性、稳定性等不确定度分量合成。

四、 均匀性检验及稳定性考察

依据JJF1343技术规范(等效ISO35指南),随机抽取分装后的样品采用气相色谱法对溶液均匀性检验、稳定性考察。结果表明:均匀性符合F检验规则,稳定性考察良好。

本标准物质量值自定值日期起,有效期为24个月,研制单位将继续跟踪监测该标准物质的稳定性,有效期内如发现量值变化,将及时通知用户。

五、包装、储存及使用

1.包装:本标准物质采用硼硅酸盐玻璃安瓿瓶包装,1.2mL/支,使用时需准确移取。

2.贮存及使用:冷冻(-18℃以下)和避光条件下保存,启封前于室温(20±3)℃平衡,并充分摇匀,按需要准确移取。安瓿瓶一经打开,应立即使用,不可再次熔封后作为标准物质使用。

声明

1. 本标准物质仅供实验室研究与分析测试工作使用。因用户使用或储存不当所引起的投诉,不予承担责任。

2. 收到后请立即核对品种、数量和包装,相关赔偿只限于标准物质本身,不涉及其他任何损失。

3. 仅对加盖“陕西秦境标准物质专用章”的完整证书负责。请妥善保管此证书。

4. 如需获得更多与应用有关的信息,请与技术咨询部门联系。

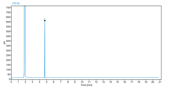
色谱图:

1.分析条件:

检测器:GC-FID;

色谱柱:HP-5MS(30m×0.25mm×0.25μm);

流量:1.2mL/min;分流比:10:1

进样口:270℃;检测器:280℃

柱箱:80℃(1min)→8℃/ min→230℃。

2.色谱图

编号

名称

CAS

1

2-氯苯酚

95-57-8


您正在浏览的产品:标样-丙酮中2-氯苯酚溶液标准样品

手机版:标样-丙酮中2-氯苯酚溶液标准样品

本公司销售的所有产品仅供实验科研使用,不用于人体及临床诊断。

暂无标准解读内容