乙酸乙酯中正庚烷溶液(GB18581-2020)
-
乙酸乙酯中正庚烷溶液(GB18581-2020)
BW06692 | 2.0mL
-
标样-乙酸乙酯中正庚烷溶液(GB18581-2020)
BW06692d | 2.0mL
-
乙酸乙酯中6种苯系物混合溶液标准物质/GB18581-2020(含内标正庚烷) 6 Mix TVOC in ethyl acetate
BWQ8398-2016 | 2mL
-
乙酸乙酯中6种苯系物GB18581-2020 None
BW1147-1 | 2mL
-
乙酸乙酯中6种苯系物GB18581-2020 None
BW1147-2 | 2mL
-
乙酸乙酯中6种苯系物GB18581-2020 None
BW1147 | 2mL
-
甲醇中8种乙二醇醚及醚酯混标(GB24409/GB18581-2020/GB18582-2020) Glycol ether and ether ester MIX 8
BW1199 | 1mL
本标准物质主要用于测量仪器校准、分析方法评价和质量控制,以及食品、卫生、环境和农业等领域相应成分含量测定与残留检测。
一、 样品制备
本标准物质采用纯度准确定值的正庚烷为原料,以色谱级乙酸乙酯为溶剂,采用重量容量法准确配制而成。
二、 溯源性及定值方法
以配制值作为溶液标准物质浓度的标准值,制备的标准物质和质量控制对照样采用气相色谱法-氢离子火焰检测器(GC-FID)比对计算,核验配制值。通过使用满足计量学特性要求的制备方法、测量方法和计量器具,保证标准物质的量值溯源性。
三、 特性值及不确定度
编号
名称
标准值
(μg/mL)
相对扩展不确定度(%)(k=2)
BW06691
乙酸乙酯中正庚烷溶液
5000
1
标准值的不确定度主要由原料纯度、称量、定容以及均匀性、稳定性等不确定度分量合成。
四、 均匀性检验及稳定性考察
依据JJF1343技术规范(等效ISO35指南),随机抽取分装后的样品采用气相色谱法对溶液均匀性,稳定性进行考察,结果表明:均匀性符合F检验规则,稳定性考察良好。
本标准物质量值自定值日期起,有效期为24个月,研制单位将继续跟踪监测该标准物质的稳定性,有效期内如发现量值变化,将及时通知用户。
五、包装、储存及使用
1.包装:本标准物质采用硼硅酸盐玻璃安瓿瓶包装,2.0mL/支,使用时需准确移取。
2.贮存及使用:冷藏(0~4)℃避光条件下保存,启封前于室温(20±3)℃平衡,并充分摇匀,按需要准确移取。安瓿瓶一经打开,应立即使用,不可再次熔封后作为标准物质使用。
六、分析方法(仅供参考)
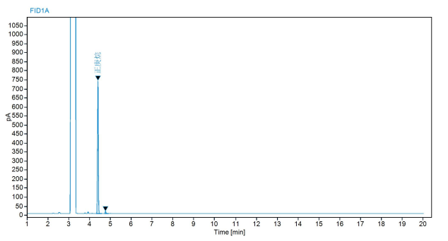
1.分析条件:
检测器:GC-FID
色谱柱:HP-5 (30m×0.25μm×0.25μm)
流量:1.0mL/min
进样口:200℃;检测器:200℃
柱箱:40℃(5min),5℃/min→115℃(0min)
2.色谱图
:

序列
名称
CAS
1
正庚烷
142-82-5
您正在浏览的产品:乙酸乙酯中正庚烷溶液(GB18581-2020)
手机版:乙酸乙酯中正庚烷溶液(GB18581-2020)
本公司销售的所有产品仅供实验科研使用,不用于人体及临床诊断。