依替米星二点五倍硫酸盐 Etimicin Sulfate
-
依替米星二点五倍硫酸盐 Etimicin Sulfate
CCAD303643 | 50mg
-
依替米星二点五倍硫酸盐 Etimicin Sulfate
CCAD303643 | 100mg
-
依替米星硫酸盐 Etimicin sulfate
1ST14153B-10mg | 10mg
-
硫酸依替米星 Etimicin Sulphate
CCAD302553 | 10mg
-
硫酸依替米星 Etimicin Sulphate
CCAD302553 | 1g
-
水中依替米星硫酸盐溶液,100μg/mL Etimicin sulfate Solution in Water, 100μg/mL
1ST14153B-100W | 1mL
-
水中二依替米星五硫酸盐溶液,100μg/mL Di-etimicin pentasulfate Solution in Water, 100μg/mL
1ST161900-100W | 1mL
交货时间:15天
有效期:大于1年
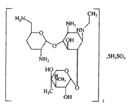
结构式:
您正在浏览的产品:依替米星二点五倍硫酸盐
手机版:依替米星二点五倍硫酸盐
本公司销售的所有产品仅供实验科研使用,不用于人体及临床诊断。