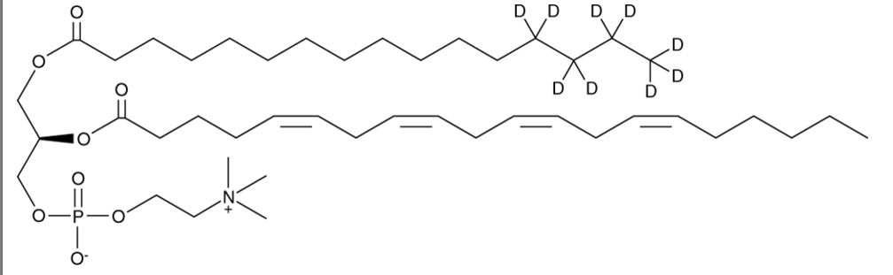
乙醇中1-棕榈酰-2-花生四烯酰-sn-甘油-3-磷酸胆碱-D9溶液,100μg/mL 1-Palmitoyl-2-arachidonoyl-sn-glycero-3-phosphocholine-d9 Solution in Ethanol, 100μg/mL
-
1-棕榈酰-2-花生四烯酰-sn-甘油-3-磷酸胆碱 1-Palmitoyl-2-arachidonoyl-sn-glycero-3-phosphocholine
1ST001062-100mg | 100mg
-
氯仿中1-棕榈酰-2-花生四烯酰-sn-甘油-3-磷酸胆碱溶液,1000μg/mL 1-Palmitoyl-2-arachidonoyl-sn-glycero-3-phosphocholine Solution in Chloroform, 1000μg/mL
1ST001062-1000S | 1mL
-
1-棕榈酰-2-花生四烯酰-sn-甘油-3-磷酸乙醇胺 1-Palmitoyl-2-arachidonoyl-sn-glycero-3-phosphoethanolamine
1ST175883-5mg(含量) | 5mg(含量)
-
氯仿中1-棕榈酰-2-油酰-sn-甘油-3-磷酸胆碱溶液,100μg/mL 1-Palmitoyl-2-oleoyl-sn-glycero-3-phosphocholine Solution in Chloroform, 100μg/mL
1ST180711-100S | 1mL
-
氯仿中1-棕榈酰-2-油酰-sn-甘油-3-磷酸胆碱溶液,1000μg/mL 1-Palmitoyl-2-oleoyl-sn-glycero-3-phosphocholine Solution in Chloroform, 1000μg/mL
1ST180711-1000S | 1mL
-
1-棕榈酰-2-乙酰-sn-甘油-3-磷酸胆碱 1-Palmitoyl-2-acetyl-sn-glycero-3-phosphocholine
1ST300816-5000-0.1ml | 0.1ml
-
1-棕榈酰-2-油酰-sn-甘油-3-磷酸胆碱 1-Palmitoyl-2-oleoyl-sn-glycero-3-phosphocholine
1ST180711-1mg | 1mg
您正在浏览的产品:乙醇中1-棕榈酰-2-花生四烯酰-sn-甘油-3-磷酸胆碱-D9溶液,100μg/mL
手机版:乙醇中1-棕榈酰-2-花生四烯酰-sn-甘油-3-磷酸胆碱-D9溶液,100μg/mL
本公司销售的所有产品仅供实验科研使用,不用于人体及临床诊断。