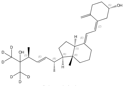
乙醇中25-羟基维生素D2-D6溶液,100μg/mL 25-Hydroxy vitamin D2-d6 Solution in Ethanol, 100μg/mL
-
甲醇中25-羟基维生素D2-D6溶液,100μg/mL 25-Hydroxy vitamin D2-d6 Solution in Methanol, 100μg/mL
1ST1578-100M | 1mL
-
25-羟基维生素D2-D6 25-Hydroxy vitamin D2-d6
1ST1578-1mg | 1mg
-
25-羟基维生素D2-D6 25-Hydroxy vitamin D2-d6
1ST1578-5mg | 5mg
-
乙醇中1α,25-二羟基维生素D2-D6溶液,100μg/mL 1α,25-Dihydroxy vitamin D2-d6 Solution in Ethanol, 100μg/mL
1ST1588D6-100Y | 1mL
-
乙醇中25-羟基维生素D2溶液,100μg/mL 25-Hydroxy vitamin D2 Solution in Ethanol, 100μg/mL
1ST1572-100Y | 1mL
-
乙醇中25-羟基维生素D2溶液,1000μg/mL 25-Hydroxy vitamin D2 Solution in Ethanol, 1000μg/mL
1ST1572-1000Y | 1mL
-
乙醇中25-羟基维生素D2-D3溶液,100μg/mL 25-Hydroxy vitamin D2-d3 Solution in Ethanol, 100μg/mL
1ST1577-100Y | 1mL
您正在浏览的产品:乙醇中25-羟基维生素D2-D6溶液,100μg/mL
手机版:乙醇中25-羟基维生素D2-D6溶液,100μg/mL
本公司销售的所有产品仅供实验科研使用,不用于人体及临床诊断。