跳至内容
当前位置: 首页 产品中心 标准物质 有机类 单标 甲醇中乙基多杀菌素 J溶液,100μg/mL Spinetoram J Solution in Methanol, 100μg/mL
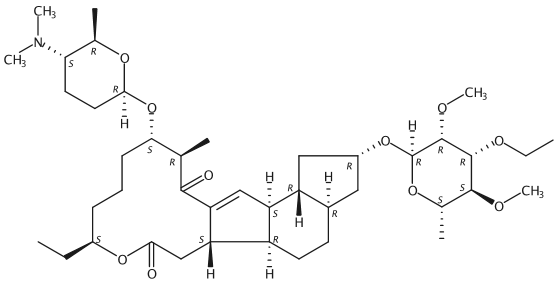
甲醇中乙基多杀菌素 J溶液,100μg/mL Spinetoram J Solution in Methanol, 100μg/mL
图片仅供参考,具体产品以实物为准!

甲醇中乙基多杀菌素 J溶液,100μg/mL Spinetoram J Solution in Methanol, 100μg/mL

1ST20631-100M
Spinetoram J Solution in Methanol, 100μg/mL
需咨询
需咨询
187166-40-1
1mL
2028-08-17
First Standard
100μg/mL
+
≥10
甲醇中乙基多杀菌素 J溶液,100μg/mL介绍:

产品基本信息:
中文同义词:乙基多杀菌素J
英文同义词:XDE 175J
密度:100
分子式:C42H69NO10
分子量:748.00

您正在浏览的产品:甲醇中乙基多杀菌素 J溶液,100μg/mL

手机版:甲醇中乙基多杀菌素 J溶液,100μg/mL

本公司销售的所有产品仅供实验科研使用,不用于人体及临床诊断。

暂无标准解读内容