跳至内容
AI采购助手
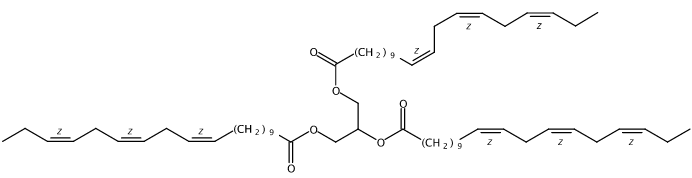
当前位置: 首页 产品中心 标准物质 有机类 单标 甲苯中二十碳三烯酸甘油三酯(顺-11,14,17)溶液,1000μg/mL cis-11,14,17-Trieicosatrienoin Solution in Toluene, 1000μg/mL
甲苯中二十碳三烯酸甘油三酯(顺-11,14,17)溶液,1000μg/mL介绍:

产品基本信息:
中文同义词:顺11,14,17-二十碳三烯酸甘油三酯
英文同义词:11,14,17-Eicosatrienoic acid, 1,2,3-propanetriyl ester, (11Z,11'Z,11'Z,14Z,14'Z,14'Z,17Z,17'Z,17'Z)- (9CI
密度:1000
分子式:C63H104O6
分子量:957.50

您正在浏览的产品:甲苯中二十碳三烯酸甘油三酯(顺-11,14,17)溶液,1000μg/mL

手机版:甲苯中二十碳三烯酸甘油三酯(顺-11,14,17)溶液,1000μg/mL

本公司销售的所有产品仅供实验科研使用,不用于人体及临床诊断。

国家标准解读: 食品安全国家标准 食品中脂肪酸的测定
标准名称及标准号 GB 5009.168-2016《食品安全国家标准 食品中脂肪酸的测定》
适用范围 适用于食品中脂肪酸的定性及定量分析,包括动植物油脂、乳制品等。二十碳三烯酸甘油三酯(顺式结构)可通过甲苯溶液作为标准物质参与检测。
核心检测方法 采用气相色谱法(GC)或气相色谱-质谱联用法(GC-MS),通过甲酯化衍生处理样品后进行分析,标准溶液用于校准和定量。
检出限与定量限 脂肪酸甲酯的检出限为0.05 mg/kg,定量限为0.1 mg/kg(以实际样品基质调整)。
质控样品要求 需包含空白样品、加标回收样品及平行样,加标回收率应控制在80%-120%,相对标准偏差(RSD)≤10%。
关键实验步骤 1. 样品甲酯化处理;2. 标准溶液梯度稀释;3. 气相色谱仪参数设定(如色谱柱:HP-88,程序升温);4. 峰面积积分与定量计算。
特别说明 顺式结构脂肪酸需采用极性色谱柱分离,甲苯溶剂需确保纯度≥99.9%,避免杂质干扰峰形。
行业标准参考:SN/T 2926-2011 出口食品中脂肪酸的测定
标准名称及标准号 SN/T 2926-2011《出口食品中脂肪酸的测定》
适用范围 针对出口食品中脂肪酸的检测,适用于油脂类、乳制品及加工食品,可参考标准溶液进行校准。
核心检测方法 气相色谱法(GC),采用内标法或外标法定量,需使用标准溶液绘制校准曲线。
质控要求 每批次样品需包含10%的平行样,校准曲线相关系数R²≥0.995。

以上信息仅供参考,请以相应标准的原文为准!