跳至内容
AI采购助手
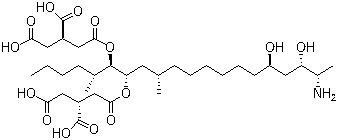
当前位置: 首页 产品中心 标准物质 无机类 单标 乙腈/水中伏马毒素B2(FB2)溶液,50μg/mL Fumonisin B2 Solution in Acetonitrile/Water, 50μg/mL
乙腈/水中伏马毒素B2(FB2)溶液,50μg/mL Fumonisin B2 Solution in Acetonitrile/Water, 50μg/mL
图片仅供参考,具体产品以实物为准!

乙腈/水中伏马毒素B2(FB2)溶液,50μg/mL Fumonisin B2 Solution in Acetonitrile/Water, 50μg/mL

1ST7225-50AW
需咨询
需咨询
116355-84-1
1mL
2028-02-18
First Standard
50μg/mL
+
≥10
乙腈/水中伏马毒素B2(FB2)溶液,50μg/mL介绍:

产品基本信息:
中文同义词:伏马菌素B2
英文同义词:FB2
密度:50
分子式:C34H59NO14
分子量:705.83

您正在浏览的产品:乙腈/水中伏马毒素B2(FB2)溶液,50μg/mL

手机版:乙腈/水中伏马毒素B2(FB2)溶液,50μg/mL

本公司销售的所有产品仅供实验科研使用,不用于人体及临床诊断。

暂无标准解读内容