丙酮中2-氯苯酚溶液标准物质
-
丙酮中2-氯苯酚溶液标准物质
BW04878 | 1000μg/mL
-
甲醇中2-氯苯酚溶液标准物质
BW04784 | 100μg/mL
-
甲醇中2-氯苯酚溶液标准物质
BW04785 | 1000μg/mL
-
甲醇中2-氯苯酚溶液
BW04785 | 1000μg/mL
-
二氯甲烷中2-氯苯酚溶液
BW08090 | 1000μg/mL
-
2-氯苯酚
BW901077 | 99.5%
-
2-氯苯酚
BW901077 | 99.8%
-
2-氯苯酚
BW901077 | 99.5%
-
丙酮中2-氯苯酚溶液标准物质
BW04878 | 1000μg/mL
-
氯苯
BW901102-1g | 99.9%
-
氯苯
BW901102-500mg | 99.9%
-
苯
BW901103 | 99.9%
-
丙酮中水合三氯乙醛(以三氯乙醛计)
NCS1600174-D | 1000μg/mL
-
玉米粉中T-2毒素分析质控样品
NCS190287-1 | 见证书
-
甲醇中氟苯尼考溶液标准物质
NCS1602905-100A | 100μg/mL
-
玉米粉中呕吐毒素分析质控样品
NCS190274-5 | 见证书
-
玉米粉中T-2毒素分析质控样品
NCS190287-3 | 见证书



本标准物质主要用于测量仪器校准、分析方法评价和质量控制,以及食品、卫生、环境和农业等领域相应成分含量测定与残留检测。
一、 样品制备
本标准物质以纯度经准确定值的2-氯苯酚为原料,以色谱级丙酮为溶剂,采用重量-容量法准确配制而成。
二、 溯源性及定值方法
以配制值作为溶液标准物质浓度的标准值,制备的标准物质和质量控制对照样采用气相色谱法-氢火焰离子化检测器(GC-FID)比对计算,核验配制值。通过使用满足计量学特性要求的制备方法、测量方法和计量器具,保证标准物质的量值溯源性。
三、 特性值及不确定度
编号
名称
标准值
(μg/mL)
扩展不确定度(k=2)(%)
BW04877
丙酮中2-氯苯酚溶液标准物质
100
3
标准值的不确定度主要由原料纯度、称量、定容以及均匀性、稳定性等不确定度分量合成。
四、 均匀性检验及稳定性考察
依据JJF1343技术规范(等效ISO35指南),随机抽取分装后的样品采用气相色谱法对溶液均匀性检验、稳定性考察。结果表明:均匀性符合F检验规则,稳定性考察良好。
本标准物质量值自定值日期起,有效期为24个月,研制单位将继续跟踪监测该标准物质的稳定性,有效期内如发现量值变化,将及时通知用户。
五、包装、储存及使用
1.包装:本标准物质采用硼硅酸盐玻璃安瓿瓶包装,1.2mL/支,使用时需准确移取。
2.贮存及使用:冷冻(-18℃以下)和避光条件下保存,启封前于室温(20±3)℃平衡,并充分摇匀,按需要准确移取。安瓿瓶一经打开,应立即使用,不可再次熔封后作为标准物质使用。
声明
1. 本标准物质仅供实验室研究与分析测试工作使用。因用户使用或储存不当所引起的投诉,不予承担责任。
2. 收到后请立即核对品种、数量和包装,相关赔偿只限于标准物质本身,不涉及其他任何损失。
3. 仅对加盖“陕西秦境标准物质专用章”的完整证书负责。请妥善保管此证书。
4. 如需获得更多与应用有关的信息,请与技术咨询部门联系。
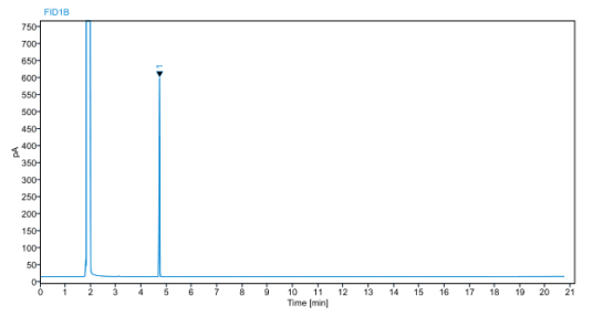
色谱图:
1.分析条件:
检测器:GC-FID;
色谱柱:HP-5MS(30m×0.25mm×0.25μm);
流量:1.2mL/min;分流比:10:1
进样口:270℃;检测器:280℃
柱箱:80℃(1min)→8℃/ min→230℃。
2.色谱图
编号
名称
CAS
1
2-氯苯酚
95-57-8
您正在浏览的产品:丙酮中2-氯苯酚溶液标准物质
手机版:丙酮中2-氯苯酚溶液标准物质
本公司销售的所有产品仅供实验科研使用,不用于人体及临床诊断。
适用范围:本标准规定了地表水、地下水、生活污水和工业废水中12种酚类化合物的气相色谱测定方法,包含2-氯苯酚的检测。
检出限:当取样体积为1000 mL时,方法检出限为0.1 μg/L~0.5 μg/L(不同酚类化合物差异)
适用范围:第8.1章规定了饮用水中挥发性酚类化合物的检测方法,包含卤代酚类化合物的测定。
检出限:气相色谱法最低检测质量为0.05 ng,按取250 mL水样计算,方法检出限可达0.2 μg/L
注:标准溶液制备需参照《化学试剂 标准滴定溶液的制备》(GB/T 601-2016)进行溶液标定,但根据提问要求已排除相关制备标准解读。
以上信息仅供参考,请以相应标准的原文为准!