甲醇中乙二醇甲醚(2-甲氧基乙醇)溶液
-
甲醇中乙二醇甲醚(2-甲氧基乙醇)溶液
BW06590 | 2000μg/mL
-
甲醇中乙二醇甲醚(2-甲氧基乙醇)溶液
BW06591d | 103.4µg/mL
-
乙二醇甲醚
BW903006 | 99.3%
-
甲醇
BW1607-2mL | 99.9%
-
甲醇
H17125-1 | 色谱级, ≥99.9%
-
甲醇
H17125-1 | 色谱级, ≥99.9%
-
甲醇
H17125-3 | GCS,≥99.9%
-
甲醇中强力霉素
BW-SCL-TM-00041 | 1000 mg/L
-
甲醇中金霉素
BW-SCL-TM-00040 | 1000 mg/L
-
甲醇中四环素
BW-SCL-TM-00263 | 1000μg/mL
-
甲醇中三聚氰胺
BW-OTL-HM-01554 | 100μg/mL
-
正己烷中4,4’-滴滴滴
BW-NCL-HN-00023 | 100μg/mL



本标准物质主要用于测量仪器校准、分析方法评价和质量控制,以及食品、卫生、环境和农业等领域相应成分含量测定与残留检测。
一、 样品制备
本标准物质采用纯度准确定值的乙二醇甲醚为原料,以色谱级甲醇为溶剂,采用重量容量法准确配制而成。
二、 溯源性及定值方法
以配制值作为溶液标准物质浓度的标准值,制备的标准物质和质量控制对照样采用气相色谱法-氢离子火焰检测器(GC-FID)比对计算,核验配制值。通过使用满足计量学特性要求的制备方法、测量方法和计量器具,保证标准物质的量值溯源性。
三、 特性值及不确定度
编号
名称
标准值
(μg/mL)
相对扩展不确定度(%)(k=2)
BW06591
甲醇中乙二醇甲醚溶液
1000
2
标准值的不确定度主要由原料纯度、称量、定容以及均匀性、稳定性等不确定度分量合成。
四、 均匀性检验及稳定性考察
依据JJF1343技术规范(等效ISO35指南),随机抽取分装后的样品采用气相色谱法对溶液均匀性,稳定性进行考察,结果表明:均匀性符合F检验规则,稳定性考察良好。
本标准物质量值自定值日期起,有效期为24个月,研制单位将继续跟踪监测该标准物质的稳定性,有效期内如发现量值变化,将及时通知用户。
五、包装、储存及使用
1.包装:本标准物质采用硼硅酸盐玻璃安瓿瓶包装,2.0mL/支,使用时需准确移取。
2.贮存及使用:冷藏(0~4)℃避光条件下保存,启封前于室温(20±3)℃平衡,并充分摇匀,按需要准确移取。安瓿瓶一经打开,应立即使用,不可再次熔封后作为标准物质使用。
六、分析方法(仅供参考)
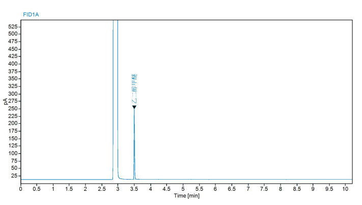
1.分析条件:
检测器:GC-FID
色谱柱:HP-5 (30m×0.32μm×0.25μm)
流量:1.0mL/min
进样口:250℃;检测器:250℃
柱箱:40℃(0min),15℃/min→250℃(0min)
2.色谱图:
序列
名称
CAS
1
乙二醇甲醚
109-86-4
声明
1. 本标准物质仅供实验室研究与分析测试工作使用。因用户使用或储存不当所引起的投诉,不予承担责任。
2. 收到后请立即核对品种、数量和包装,相关赔偿只限于标准物质本身,不涉及其他任何损失。
3. 仅对加盖“陕西秦境标准物质专用章”的完整证书负责。请妥善保管此证书。
4. 如需获得更多与应用有关的信息,请与技术咨询部门联系。
您正在浏览的产品:甲醇中乙二醇甲醚(2-甲氧基乙醇)溶液
手机版:甲醇中乙二醇甲醚(2-甲氧基乙醇)溶液
本公司销售的所有产品仅供实验科研使用,不用于人体及临床诊断。
以上信息仅供参考,请以相应标准的原文为准!