水中乙醛溶液
-
水中乙醛溶液
BW03397 | 10000μg/mL
-
水中乙醛溶液标准物质
BW03398-1 | 1200mg/L
-
水中乙醛溶液标准物质
BW03397-1 | 10000mg/L
-
水中乙醛溶液
BW03999 | 2000μg/mL
-
水中乙醛溶液
BW03998d | 质控100.5μg/mL
-
水中乙醛溶液标准物质
BW03398 | 1000mg/L
-
水中乙醛
BW03999(无效) | 1000μg/mL
-
标样/水质P2O5以五氧化二磷计算浓度质控样15μg/mL
NCSZ-P2O5-15μg/mL | 15μg/mL
-
标准物质/Ge锗标准溶液/5%硝酸+5%氢氟酸
NCS1876316 | 500μg/mL
-
标准物质/Fe铁标准溶液
NCS1876344 | 30μg/mL
-
标准物质/TP总磷标准溶液
NCS1876307 | 8mg/L
-
标样/水质COD-Mn高锰酸盐指数质控样5.6μg/mL
NCSZ-COD(Mn)-5.6μg/mL | 5.6μg/mL



本标准物质主要用于测量仪器校准、分析方法评价和质量控制,以及食品、卫生、环境和农业等领域相应成分含量测定与残留检测。
一、 样品制备
本标准物质采用纯度准确定值的乙醛(CAS号:75-07-0)为原料,以实验室一级用水为溶剂,采用重量容量法准确配制而成。
二、 溯源性及定值方法
以配制值作为溶液标准物质浓度的标准值,制备的标准物质和质量控制对照样采用气相色谱法-氢离子火焰检测器(GC-FID)比对计算,核验配制值。通过使用满足计量学特性要求的制备方法、测量方法和计量器具,保证标准物质的量值溯源性。
三、 特性值及不确定度
编号
名称
标准值
(μg/mL)
相对扩展不确定度(%)(k=2)
BW03998
水中乙醛溶液标准物质
1000
3
标准值的不确定度主要由原料纯度、称量、定容以及均匀性、稳定性等不确定度分量合成。
四、 均匀性检验及稳定性考察
依据JJF1343技术规范(等效ISO35指南),随机抽取分装后的样品采用气相色谱法对溶液均匀性,稳定性进行考察,结果表明:均匀性符合F检验规则,稳定性考察良好。
本标准物质量值自定值日期起,有效期为12个月,研制单位将继续跟踪监测该标准物质的稳定性,有效期内如发现量值变化,将及时通知用户。
五、包装、储存及使用
1.包装:本标准物质采用硼硅酸盐玻璃安瓿瓶包装,2.0mL/支,使用时需准确移取。
2.贮存及使用:冷藏(0-4℃)避光条件下保存,启封前于室温(20±3)℃平衡,并充分摇匀,按需要准确移取。安瓿瓶一经打开,应立即使用,不可再次熔封后作为标准物质使用。
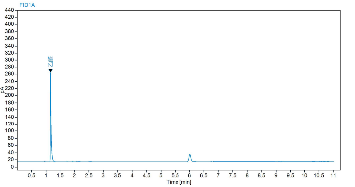
六、分析方法(仅供参考)
1.分析条件:
检测器:GC-FID
色谱柱:DB -WAX (30m×0.25μm×0.25μm)
流量:3.0mL/min;
进样口:200℃;检测器:200℃
柱箱:40℃(5min),10℃/min→100℃(0min)
2.色谱图:
序列
名称
CAS
1
乙醛
75-07-0
声明
1. 本标准物质仅供实验室研究与分析测试工作使用。因用户使用或储存不当所引起的投诉,不予承担责任。
2. 收到后请立即核对品种、数量和包装,相关赔偿只限于标准物质本身,不涉及其他任何损失。
3. 仅对加盖“陕西秦境标准物质专用章”的完整证书负责。请妥善保管此证书。
4. 本标准物质仅供实验室研究与分析测试工作使用。因用户使用或储存不当所引起的投诉,不予承担责任。
您正在浏览的产品:水中乙醛溶液
手机版:水中乙醛溶液
本公司销售的所有产品仅供实验科研使用,不用于人体及临床诊断。
注:以上标准中,乙醛的检测均需避免使用塑料容器采样,推荐使用棕色玻璃瓶并充满容器,减少挥发损失。
以上信息仅供参考,请以相应标准的原文为准!