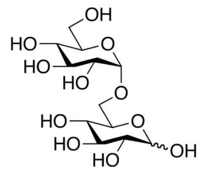
异麦芽糖
-
2-萘酚-d8
CCEM501785 | 99.1%
-
2-萘酚-d8
CCEM501785 | 99.1%
-
4-甲硫基-3,5-二甲基苯酚
CCEM500355 | >95%
-
3,4-二羟基肉桂酸(咖啡酸)
CCHM701660 | 99.9%
-
磷酸三丁酯-d27
CCHM701612 | 98.2%



交货时间:现货
有效期:2029-04-07 00:00:00
结构式:
您正在浏览的产品:异麦芽糖
手机版:异麦芽糖
以上信息仅供参考,请以实物批次为准!
本公司销售的所有产品仅供实验科研使用,不用于人体及临床诊断。
2. 色谱条件:流动相为乙腈-水(75:25),流速1.0 mL/min;
3. 定量分析:外标法校准,保留时间定性。
以上信息仅供参考,请以相应标准的原文为准!