异辛烷中6种反式脂肪酸甲酯/GB5009.257-2016
-
甲苯/异辛烷中10种多溴联苯混标
BW06915 | 100μg/mL
-
正己烷中7种邻苯二甲酸酯类混标/HJ 869-2017
BW5097 | 1000μg/mL
-
2-辛烷酮
ZZ-10572 | 见证书
-
PCB 207
ZHC-692088 | 见证书
-
PCB 206
ZDR-L20020600IO | 10 µg/mL于异辛烷
-
PCB 105
ZHC-687958 | 见证书
-
E6005
E-111001 | 见证书
-
乙腈中灭多威/灭多威肟混标/HJ 851-2017
NCS1603458-100B | 100μg/mL
-
正己烷中4种六六六和4种滴滴涕混标
NCS1603441-100E | 100μg/mL
-
水中一溴二氯甲烷、二溴一氯甲烷、三溴甲烷
NCSZ1603691-1-C2 | 25ug/L(稀释100倍)
-
甲醇中14种挥发性卤代烃标样(甲醇中14种卤代烃)不同浓度(HJ620-2011)
BW08265d | 质控(0.4-40)μg/mL
-
甲醇中14种挥发性卤代烃标样(甲醇中14种卤代烃)不同浓度(HJ620-2011)
BW08266d | 质控1μg/mL



本标准物质主要用于测量仪器校准、分析方法评价和质量控制,以及食品、卫生、环境和农业等领域相应成分含量测定与残留检测。
一、样品制备
本标准物质以纯度经准确定值的反-9-十六烯酸甲酯(C17H32O2,CAS:10030-74-7)、反式-6-十八烯酸甲酯(C19H36O2,CAS:14620-36-1)、反油酸甲酯(C19H36O2,CAS:2462-84-2)、反式-11-十八烯酸甲酯(C19H36O2,CAS:6198-58-9)、反-11-二十碳烯酸甲酯(C21H40O2,CAS:69119-90-0)、Trans-13-二十二碳-烯酸甲酯(C23H44O2,CAS:7439-44-3)纯品为原料,以色谱级异辛烷为溶剂,采用重量-容量法准确配制而成。
二、溯源性及定值方法
以配制值作为溶液标准样品浓度的标准值,制备的标准物质和质量控制对照样采用气相色谱法-氢火焰离子化检测器(GC-FID)比对计算,核验配制值,通过使用满足计量学特性要求的制备方法、测量方法和计量器具,保证标准样品的量值溯源性。
三、特性值及不确定度
编号
名称
标准值
(μg/mL)
相对扩展不确定度(k=2)(%)
BW03271
反-9-十六烯酸甲酯
100
3
反式-6-十八烯酸甲酯
100
3
反油酸甲酯
100
3
反式-11-十八烯酸甲酯
100
3
反-11-二十碳烯酸甲酯
100
3
Trans-13-二十二碳-烯酸甲酯
100
3
标准值的不确定度主要由原料纯度、称量、定容以及均匀性、稳定性等不确定度分量合成。
四、均匀性检验及稳定性考察
依据JJF1343技术规范(等效ISO35指南),随机抽取分装后的样品采用气相色谱法对溶液均匀性检验、稳定性考察。检验结果表明:均匀性符合F检验规则,稳定性考察良好。
本标准样品量值自定值日期起,有效期为24个月,研制单位将继续跟踪监测该标准样品的稳定性,有效期内如发现量值变化,将及时通知用户。
五、包装、储存及使用
1.包装:本标准样品采用硼硅酸盐玻璃安瓿瓶包装,1.2mL/支,使用时需准确移取。
2.贮存及使用:(-18℃以下)冷冻和避光条件下保存,启封前于室温(20±3)℃平衡,并充分摇匀,按需要准确移取。安瓿瓶一经打开,应立即使用,不可再次熔封后作为标准样品使用。
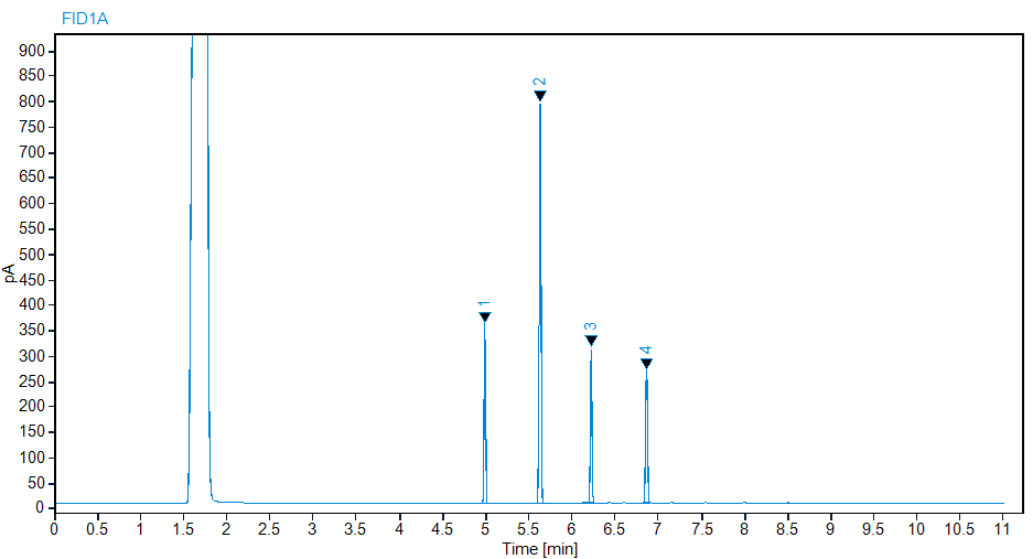
六、分析方法(仅供参考)
1.分析条件:
检测器:GC-FID
色谱柱:HP-5ms (30m×0.25mm×0.25μm)
流量:1.2mL/min;
进样口:300℃;检测器:300℃
柱箱:120℃→30℃/min→300℃(5min)
2. 谱图信息
编号
名称
CAS
1
反-9-十六烯酸甲酯
2
反式-6-十八烯酸甲酯
反油酸甲酯
3
4
声明
1.本标准物质仅供实验室研究与分析测试工作使用。因用户使用或储存不当所引起的投诉,不予承担责任。
2.收到后请立即核对品种、数量和包装,相关赔偿只限于标准物质本身,不涉及其他任何损失。
3.仅对加盖“陕西秦境标准物质专用章”的完整证书负责。请妥善保管此证书。
4.如需获得更多与应用有关的信息,请与技术咨询部门联系。
您正在浏览的产品:异辛烷中6种反式脂肪酸甲酯/GB5009.257-2016
手机版:异辛烷中6种反式脂肪酸甲酯/GB5009.257-2016
本公司销售的所有产品仅供实验科研使用,不用于人体及临床诊断。
本标准规定了食品中反式脂肪酸的气相色谱测定方法,适用于植物油、乳制品、烘焙食品、油炸食品等中反式脂肪酸的定性及定量分析。特别针对异辛烷作为溶剂溶解反式脂肪酸甲酯的样品前处理步骤,适用于分离检测包括反式C18:1、C18:2等在内的6种典型反式脂肪酸甲酯。
*注:实际检测中需通过标准曲线验证,异辛烷溶剂空白应无目标物干扰峰。
以上信息仅供参考,请以相应标准的原文为准!